### PUNTOS CLAVE
- La hemodiafiltración (HDF) es una modalidad de diálisis cada vez más utilizada en las últimas décadas.
- Numerosos estudios retrospectivos sugieren beneficios en la reducción de la mortalidad cardiovascular y mejoras en la calidad de vida.
- Se han realizado cuatro grandes estudios aleatorizados para evaluar los beneficios de la HDF, pero a pesar de resultados contradictorios, solo el estudio ESHOL mostró un beneficio clínico del método.
- La gran pregunta en la literatura radica en si el beneficio clínico se produce principalmente en pacientes con un buen acceso vascular, lo que garantiza una alta dosis de reemplazo (>23L/sesión).
- Hasta el momento, la duda persistía: ¿el beneficio se debe a la HDF o porque el método selecciona a pacientes más saludables con un mejor acceso vascular?
- El estudio CONVINCE resultó positivo y demostró una reducción en la mortalidad general en pacientes tratados con HDF de alta dosis en comparación con la HD convencional.
- El gran logro de este estudio fue la selección de pacientes con una alta probabilidad de alcanzar una alta dosis convectiva (>23L/sesión), eliminando así el sesgo de selección de pacientes más saludables con un mejor acceso.
- A pesar de los beneficios demostrados por el estudio en relación con la HDF, esta es una modalidad costosa y aún poco disponible en Brasil.
- Esperamos futuros análisis del estudio, como el análisis de costo-efectividad y mejoras en la calidad de vida.
### ¿POR QUÉ ESTE TEMA GENERA TANTO DEBATE?
La hemodiafiltración (HDF) es una terapia de diálisis que ha ido ganando relevancia en las últimas décadas. Es una modalidad más utilizada en Europa y Japón, y numerosos estudios retrospectivos sugieren beneficios, como la reducción de la mortalidad cardiovascular y la mejora en la calidad de vida asociada a esta terapia.
A pesar de los numerosos beneficios descritos en estudios retrospectivos en los últimos 10 a 20 años, hasta el momento, tres grandes estudios aleatorizados no han demostrado beneficios en términos de mortalidad:**CONTRAST** **study** ([link](https://journals.lww.com/jasn/pages/articleviewer.aspx?year=2012&issue=06000&article=00019&type=Fulltext)) y **Turkish OL-HDF study** ([link](https://academic.oup.com/ndt/article/28/1/192/1828984?login=false)) y **FRENCHIE study** ([link](https://www.kidney-international.org/article/S0085-2538(17)30040-6/fulltext)).
El estudio **ESHOL** ([enlace](https://journals.lww.com/jasn/Fulltext/2013/03000/High_Efficiency_Postdilution_Online.19.aspx)) fue el único que arrojó resultados positivos, mostrando una reducción del 30% en la mortalidad en el grupo aleatorizado para recibir HDF en comparación con el grupo de HD. Sin embargo, este estudio presentó limitaciones metodológicas significativas, ya que el grupo aleatorizado para recibir HDF tenía **más pacientes con fístulas** y **menos pacientes diabéticos**, factores claramente asociados con una mayor supervivencia y que podrían haber causado un sesgo de selección.
Es interesante notar que, en el análisis post hoc de estos cuatro estudios (que incluyó a 2,793 pacientes), aquellos pacientes que recibieron una mayor dosis convectiva, es decir, un volumen de reposición elevado (>23L/sesión), tuvieron una mejor supervivencia. Surgieron así las mayores controversias relacionadas con el método: **¿la HDF tiene beneficios por ser una terapia superior o simplemente es una terapia que logra seleccionar a pacientes más saludables, con menos comorbilidades, menos enfermedades cardiovasculares y mejor acceso vascular?**
Fue en este contexto que se diseñó el estudio CONVINCE, con el objetivo de responder a las controversias de los estudios previos.
## RESUMEN DEL ESTUDIO
**Artículo**: Effect of Hemodiafiltration or Hemodialysis on Mortality in Kidney Failure ([link](https://www.nejm.org/doi/full/10.1056/NEJMoa2304820?query=featured_nephrology))
**Revista**: New England Journal of Medicine, publicado el 16 de junio de 2023
**Metodología**
El estudio fue multicéntrico (en 9 países), prospectivo, aleatorizado (1:1) y abierto, y comparó dos grupos de pacientes en terapia de diálisis:
- **Grupo HD** (n=677): terapia con HD convencional utilizando un dializador de alto flujo.
- **Grupo HDF**: terapia con HDF utilizando un dializador de alto flujo y **un alto volumen convectivo (>23L/sesión)** (n=683).
Los pacientes del grupo HDF recibieron ajustes en la prescripción cada 2 a 3 semanas para alcanzar la elevada dosis convectiva objetivo.
**Criterios de inclusión:** pacientes adultos (>18 años) en programa de HD durante más de 3 meses y que pudieran tolerar una elevada dosis de HDF (post-capilar). _Este paso fue importante para evitar el sesgo de selección de los estudios anteriores, ya que solo los pacientes con un mejor acceso vascular podrían recibir esta dosis_.
**Criterios de exclusión**: pacientes con condiciones que pudieran interferir en el resultado del tratamiento, como baja adherencia, expectativa de vida inferior a 3 meses, tratamiento con HDF en los últimos 3 meses o programación para recibir un trasplante renal en menos de 6 meses desde la aleatorización.
Se realizó un análisis de subgrupos predefinido para edad, acceso vascular, diuresis residual, enfermedad cardiovascular y diabetes tipo 2.
**Objetivo primario:** evaluar la mortalidad por todas las causas.
Objetivos secundarios: causas específicas de muerte, síndromes coronarios agudos, insuficiencia cardíaca, enfermedad coronaria con angioplastia, accidente cerebrovascular, procedimientos vasculares (carótida y enfermedad arterial oclusiva periférica), además de hospitalización por infección o por cualquier causa.
**Resultados**
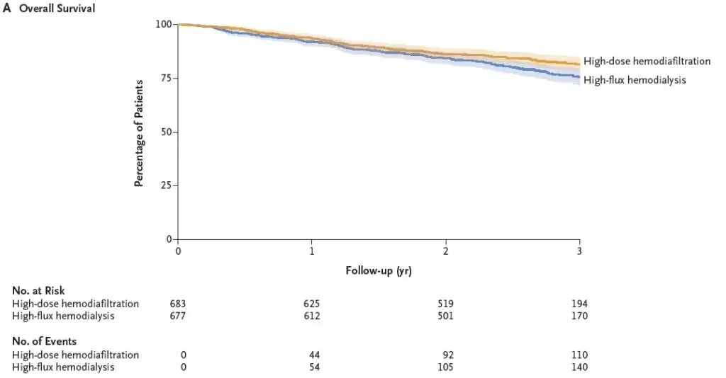
El estudio intentó reclutar a 1800 pacientes, pero logró aleatorizar y analizar a 1360 pacientes en el período de 2019 a 2021. La población tenía aproximadamente 62 años, estaba en terapia de reemplazo renal durante unos 2,5 años y **más del 85% tenía una fístula arteriovenosa o una prótesis** como acceso vascular. La mediana de seguimiento fue de 30 meses (27-38 meses).
Según lo esperado, el grupo HDF alcanzó el volumen de reposición previsto (23,1 ± 1 L por sesión) y también mostró un mayor Kt/V.
**Se observó una reducción del 23% en la mortalidad en el grupo tratado con HDF.** El número total de muertes fue de 266, siendo un 17,3% en el grupo HDF (7,13 eventos por 100 pacientes-año) y un 21,9% en el grupo HD (9,19 eventos por 100 pacientes-año), HR 0,77; IC del 95%, 0,65-0,93, p=0,005. De las muertes, un 25,6% se debió a causas cardiovasculares, un 9,8% a COVID-19 y un 21,1% a otras infecciones.
En general, no se observaron diferencias en la mortalidad en el análisis de los subgrupos predefinidos. Sin embargo, en los pacientes del grupo HDF, el riesgo de muerte fue aún menor en los pacientes **sin antecedentes de enfermedad cardiovascular** (HR 0,58; IC del 95%, 0,42-0,79) y en los pacientes **sin diabetes mellitus** (HR 0,65; IC del 95%, 0,48-0,87).
No se observaron diferencias en los objetivos secundarios analizados, excepto una aparente reducción en el riesgo de muerte por COVID-19 en el grupo HDF (HR 0,69; IC del 95%, 0,49-0,96).

## OPINIÓN NEFROUPDATES
Este estudio era muy esperado y finalmente ha demostrado una reducción en el riesgo de muerte en pacientes tratados con HDF de alta dosis en comparación con la terapia de HD convencional.
A pesar de los numerosos estudios realizados hasta el momento, la mayoría de los resultados positivos con reducción de la mortalidad general y cardiovascular se basaban en análisis _post hoc_, por lo tanto, era necesario un estudio con un mayor rigor científico como este para respaldar la recomendación de la terapia.
A pesar de la emoción por el resultado positivo de este estudio (y debemos celebrarlo), no podemos olvidar que desafortunadamente esta es una terapia costosa (más de dos veces el costo de la HD convencional), ya que requiere el uso de un dializador desechable y agua ultrapura, y es poco común en Brasil.
Ciertamente esperamos que en las próximas décadas esta modalidad se difunda y que los costos disminuyan. Sin embargo, es esencial que entendamos la realidad de Brasil, donde la gran mayoría de las clínicas de diálisis son **financiadas por el SUS**, donde la reutilización de materiales y la falta de acceso a agua ultrapura son comunes.
No necesariamente esta modalidad debe ofrecerse a todos los pacientes con indicación de TRS, debemos seleccionar a los pacientes que más se beneficiarán de esta modalidad. Estos son detalles que obtendremos con reanálisis agrupados de estos estudios.
Debemos prestar atención a un punto esencial: para indicar la modalidad HDF a un paciente en TRS, debemos asegurarnos de que tenga un acceso vascular adecuado. El CONVINCE _trial_ demostró beneficios para el grupo HDF de **alta dosis (>23L/sesión)**, pero si esta dosis no se alcanza (subdosificación), corremos el riesgo de no reducir la mortalidad y aumentar los gastos en salud.